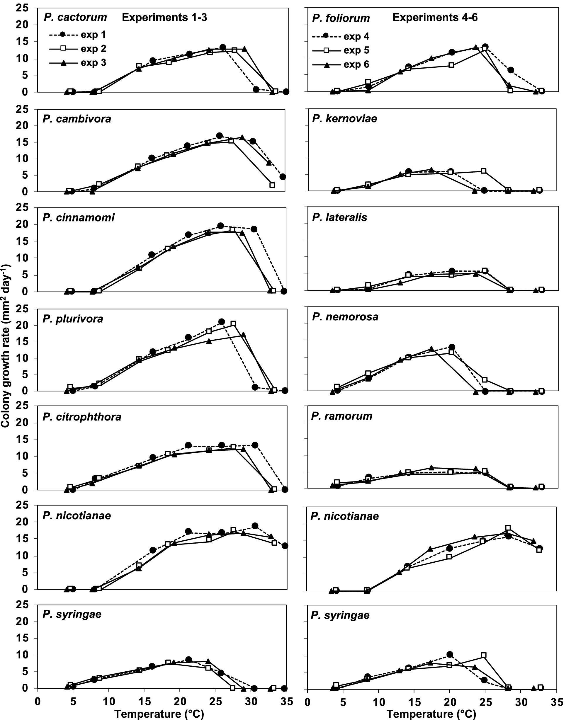
Fig. 3
From: Growth, infection and aggressiveness of Phytophthora pathogens on Rhododendron leaves

Colony growth rates (mm day−1) 4 days post-inoculation for each Phytophthora species grown at seven temperatures on V8 100 agar. Two sets of three experiments were conducted, one with all non-quarantine species (left column) and one with all quarantine species (right column) including P. syringae and P. nicotianae as positive controls